Skip to content

aerariumfi.com

  • Công cụ đầu tư
  • Kiến thức tổng hợp
  • Kinh nghiệm đầu tư
  • Sàn đầu tư
  • Thuật ngữ cơ bản
  • Tin tức

aerariumfi.com

  • Home » 
  • Tin tức » 
  • Đòn bẩy tài chính: Tìm hiểu và ứng dụng trong đầu tư

Đòn bẩy tài chính: Tìm hiểu và ứng dụng trong đầu tư

By Tháng 5 12, 2025 0
Đòn bẩy tài chính là gì?
Table of Contents

Đòn bẩy tài chính là một công cụ quan trọng trong lĩnh vực tài chính, giúp các doanh nghiệp gia tăng hiệu suất lợi nhuận và các nhà đầu tư tối ưu hóa chiến lược đầu tư của mình. Tuy nhiên, không phải ai cũng hiểu rõ về khái niệm này và cách sử dụng đòn bẩy tài chính một cách hiệu quả. Dưới đây là những thông tin hữu ích mà bạn không nên bỏ qua.

Đòn bẩy tài chính là gì?

Đòn bẩy tài chính là gì?Đòn bẩy tài chính là gì?

Theo định nghĩa, đòn bẩy tài chính là mức độ mà một doanh nghiệp sử dụng vốn vay để tài trợ cho hoạt động của mình. Mục tiêu của đòn bẩy tài chính là gia tăng tỷ suất lợi nhuận cho doanh nghiệp (hoặc cổ đông, có thể bao gồm thu nhập từ mọi nguồn). Đòn bẩy tài chính nằm trong bảng cân đối kế toán của công ty và tỷ lệ này càng cao thì doanh nghiệp càng sử dụng nhiều vốn vay.

Một doanh nghiệp có tỷ lệ đòn bẩy tài chính cao thì chỉ cần đạt được tỷ suất lợi nhuận nhỏ cũng có thể tạo ra lợi nhuận lớn cho các cổ đông. Tuy nhiên, nếu kinh doanh không hiệu quả, rủi ro tài chính cũng sẽ rất cao.

Ý nghĩa của đòn bẩy tài chính

Nhiều doanh nghiệp hiện nay rất ưa chuộng việc sử dụng đòn bẩy tài chính như một công cụ giúp gia tăng lợi nhuận. Đặc biệt trong lĩnh vực bất động sản, đòn bẩy tài chính có tác động mạnh mẽ đến chiến lược kinh doanh của công ty. Có thể liệt kê một số ý nghĩa chính như sau:

  • Bù đắp cho những thiếu hụt vốn của doanh nghiệp nhằm có thể duy trì hoạt động. Điều này không chỉ giúp doanh nghiệp tồn tại mà còn mở ra khả năng tăng trưởng trong tương lai.
  • Tạo ra một phương tiện nhằm đẩy mạnh lợi nhuận sau thuế cho các chủ đầu tư từ nguồn vốn sở hữu. Đồng thời, đòn bẩy tài chính cũng có thể kìm hãm sự gia tăng lợi nhuận mà doanh nghiệp đạt được.
  • Được xem như là “không mất phí” của doanh nghiệp.
  • Không chỉ có ý nghĩa đối với doanh nghiệp, đòn bẩy tài chính còn có giá trị rất quan trọng đối với các trader trong quá trình đầu tư chứng khoán. Đây là công cụ giúp nhà đầu tư nhân số vốn lên nhiều lần, nhằm đem về những khoản lợi nhuận lớn hơn.

Công thức tính đòn bẩy tài chính

Cách tính đòn bẩy tài chính được xác định thông qua công thức sau:

Trong đó:

  • EBIT (Earnings Before Interest and Taxes) được xem là lợi nhuận trước thuế và lãi vay.
  • EPS (Earnings Per Share) được xem là lợi nhuận trên mỗi cổ phần.

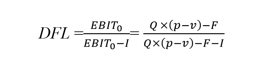
Để tính đòn bẩy tài chính khi có thêm khoản lãi vay phải trả (I), ta sẽ sử dụng công thức mới:

Công thức tính đòn bẩy tài chínhCông thức tính đòn bẩy tài chính

Với:

  • F: chi phí cố định
  • v: chi phí biến đổi trên 1 đơn vị sản phẩm
  • p: giá bán
  • Q: số lượng sản phẩm
  • I: lãi vay phải trả

Xét ví dụ sau để có cái nhìn rõ hơn:

Doanh nghiệp A kinh doanh sản phẩm B với tổng số vốn là 100.000.000 VNĐ, trong đó bao gồm 50.000.000 VNĐ doanh nghiệp vay với lãi suất 10%/năm. Dự kiến trong năm 2021, doanh nghiệp có khả năng tiêu thụ được 10.000 sản phẩm, giá của mỗi sản phẩm là 20.000 VNĐ. Mỗi sản phẩm sẽ có chi phí biến đổi là 14.000 VNĐ với tổng chi phí để kinh doanh cố định là 40.000.000 VNĐ.

Ta có:

  • I = 50.000.000 x 10% = 5.000.000 VNĐ
  • F = 40.000.000 VNĐ
  • v = 14.000 VNĐ
  • p = 20.000 VNĐ
  • Q = 10.000 sản phẩm.

Áp dụng công thức, ta tính được mức đòn bẩy tài chính đối với doanh nghiệp này là:

EBIT = 10.000 x (20.000 – 14.000) – 40.000.000 = 20.000.000 VNĐ.

Kết luận: Khi EBIT = 20.000.000 VNĐ (mức lợi nhuận trước thuế và lãi vay), nếu doanh nghiệp A tăng hoặc giảm 1% số lợi nhuận này thì tỷ suất lợi nhuận trên vốn sở hữu sẽ tăng hoặc giảm 1,34%.

Nhóm chỉ số đòn bẩy tài chính hiện nay

  1. Tỷ lệ nợ/tổng tài sản (D/A)

Tỷ lệ nợ/tổng tài sản (D/A) được sử dụng để đo lường mức độ mà doanh nghiệp sử dụng khoản nợ vay để tài trợ cho tổng khối lượng tài sản. Điều này có nghĩa là trong tổng số tài sản hiện có của doanh nghiệp được tài trợ bao nhiêu phần trăm nợ vay.

Chỉ số này phụ thuộc vào những yếu tố như: mục đích vay, lĩnh vực hoạt động của doanh nghiệp, quy mô doanh nghiệp và loại hình doanh nghiệp. Muốn nắm được tỷ lệ của loại này cao hay thấp thì có thể so sánh với tỷ lệ trung bình ngành.

  1. Tỷ lệ nợ/vốn (D/C)

Tỷ lệ nợ/(Tổng nợ + Vốn sở hữu): Chỉ số này đóng vai trò cung cấp cho các nhà nghiên cứu, nhà đầu tư về hình thái tài chính của một doanh nghiệp. Ở đâu có tỷ lệ nợ trên vốn cao so với mức bình quân của ngành thì ở đó có thể có tình hình tài chính không khả quan.

  1. Tỷ lệ tổng nợ/vốn sở hữu (D/E)

Chỉ số này phản ánh quy mô tài chính của doanh nghiệp, cho biết mức độ nợ và vốn sở hữu mà đơn vị này dùng để chi trả cho hoạt động của mình. Tỷ lệ nợ/vốn sở hữu được coi là tỷ lệ đòn bẩy tài chính phổ biến nhất.

  1. Tỷ lệ đòn bẩy tài chính

Tổng tài sản trung bình/Vốn sở hữu trung bình thể hiện vốn vay và vốn sở hữu trung bình ở một thời kỳ. Chỉ số này phản ánh khả năng tự chủ về tài chính cũng như nhìn nhận vấn đề để biết doanh nghiệp chưa biết tận dụng lợi thế của đòn bẩy tài chính.

Chỉ số chi trả lãi vay (gọi tắt là EBIT/Chi phí lãi vay). Chỉ số này phản ánh lợi nhuận trước thuế và khoản vay để đảm bảo khả năng chi trả lãi của doanh nghiệp. Nếu tỷ lệ chi trả lãi vay lớn hơn 1 thì doanh nghiệp có khả năng trả lãi và ngược lại.

Ưu và nhược điểm của đòn bẩy tài chính

Ưu và nhược điểm của đòn bẩy tài chínhƯu và nhược điểm của đòn bẩy tài chính

Để hiểu rõ hơn về ý nghĩa của đòn bẩy tài chính mang lại, ta có thể dựa vào ưu điểm và nhược điểm của nó.

Ưu điểm:

Hiện nay, đòn bẩy tài chính có tính ứng dụng rất cao vì hầu hết các doanh nghiệp lớn nhỏ đều biết những lợi ích mà đòn bẩy mang lại như:

  • Là một công cụ mạnh mẽ giúp các doanh nghiệp có thể tăng vốn để giao dịch trên nhiều thị trường khác nhau.
  • Đòn bẩy tài chính được xem là khoản vay không tính lãi, nó được cung cấp bởi các nhà môi giới nhằm đổi lấy một khoản ký quỹ giúp doanh nghiệp có vị thế tốt hơn trên thị trường.
  • Sử dụng đòn bẩy tài chính được xem là giải pháp cho độ biến động thấp. Khi thị trường có ít sự biến động sẽ làm cho các nhà giao dịch cảm thấy khó khăn. Nhưng nếu áp dụng tốt các giao dịch đòn bẩy, nhà giao dịch có thể tạo ra được những lợi nhuận tốt hơn trong khoảng thời gian khó khăn này.

Nhược điểm:

  • Tỷ lệ rủi ro, tổn thất càng tăng cao vì trước khi sử dụng đòn bẩy tài chính, doanh nghiệp và nhà đầu tư cần dành ra nhiều thời gian để tìm hiểu kỹ lưỡng hơn để tránh những rủi ro trong quá trình sử dụng phương pháp này.
  • Khi bạn gặp phải rủi ro, khoản tiền bị lỗ vượt quá số tiền bạn đã ký quỹ thì Margin Call — Lệnh gọi/đường ký quỹ sẽ xuất hiện. Nghiêm trọng hơn khi không có sẵn số tiền mới trong tài khoản, margin sẽ bị đóng băng với mức lỗ mà bạn có.

Nguyên tắc khi sử dụng đòn bẩy tài chính

Thứ nhất, cần tuân thủ việc cắt lỗ: xác định rủi ro tối đa và có sự cắt lỗ một cách hợp lý khi thị trường diễn biến không theo ý tưởng đầu tư, ít nhất là đối với phần vốn bạn vay.

Thứ hai, không nên sử dụng đòn bẩy để mua trung bình giá khi thị trường biến động theo chiều hướng đi xuống vì điều này khiến cho các khoản nợ ngày càng trả nên trầm trọng.

Thứ ba, tránh sử dụng đòn bẩy cấp thấp. Nhiều nhà đầu tư khi sử dụng đòn bẩy và thành công trong vài phiên giao dịch đầu và tiếp tục “cấp thấp”, tiếp tục sử dụng đòn bẩy ở mức độ cao tương đương dẫn đi đến mức lãi đạt được.

Hạn chế tối đa sử dụng đòn bẩy vào tài sản không có tính thanh khoản. Nếu đầu tư vào các tài sản này, nhà đầu tư cần hiểu được họ sẽ phải đối mặt với cả 3 rủi ro chính là: mất giá, rủi ro đòn bẩy và rủi ro thanh khoản.

Sử dụng đòn bẩy nên tập trung vào các tài sản mang tính thanh khoản cao như: cổ phiếu blue chip với cổ phiếu penny, hay các bất động sản mang tính thanh khoản cao hơn so với các bất động sản ở địa bàn có nhu cầu mua thấp. Nên sử dụng đòn bẩy ở quy mô nhỏ hơn để thử nghiệm và việc sử dụng đòn bẩy cũng nên là một phần của một kế hoạch đầu tư có tính kỷ luật và có tính khả thi. Việc sử dụng đòn bẩy cần vạch kế hoạch rõ ràng, nhà đầu tư cần lường trước các trường hợp có thể xảy ra trong tương lai.

Giao dịch đòn bẩy tại thị trường chứng khoán

Hiện nay, giao dịch đòn bẩy khá quen thuộc với các nhà môi giới/giao dịch. Tuy nhiên, công cụ đòn bẩy này cũng giống như một con dao hai lưỡi nếu bạn sử dụng không đúng cách. Khi sử dụng nó, bạn cần tính toán và xem xét kỹ lưỡng dựa vào các yếu tố sau:

  • Mức độ kinh nghiệm của bạn phải ở mức có kinh nghiệm dày dạn trong thị trường chứng khoán, bởi nếu bạn là người mới bước vào đầu tư chứng khoán, chưa hiểu biết về thị trường biến động và nguồn tiền dành cho dự phòng không có thì bạn không nên hóa hẳn hay chỉ nên sử dụng đòn bẩy x1 để tránh rủi ro.
  • Nếu bạn là người thích mạo hiểm, bạn có thể đặt mức đòn bẩy cao khi bạn có khả năng chịu đựng và chấp nhận rủi ro cao, mức tổn thất nó mang lại. Ngược lại, nếu bạn muốn an toàn thì chỉ nên đặt mức đòn bẩy ở mức thấp.
  • Nếu vốn đầu tư của bạn bị hạn chế thì việc sử dụng đòn bẩy có thể khiến bạn mất tiền nhanh chóng so với các tài khoản lớn bởi tài khoản nhỏ sẽ nhanh chóng chạm đến đỉnh đuôi. Dựa vào đòn bẩy sẽ giúp các nhà đầu tư kiếm lợi nhanh chóng nhưng cũng không nên quên rằng tổn thất của đòn bẩy mang lại.

Sử dụng đòn bẩy tài chính sao cho có hiệu quả

Sử dụng đòn bẩy tài chính sao cho có hiệu quảSử dụng đòn bẩy tài chính sao cho có hiệu quả

Khi doanh nghiệp hoặc nhà đầu tư sử dụng đòn bẩy tài chính sẽ có 3 trường hợp xảy ra đó là:

  • Trường hợp 1: Tỷ suất sinh lợi trên vốn kinh doanh (ROCE) > Lãi suất vay nợ (r). Nếu ROCE > r có nghĩa là khi doanh nghiệp càng sử dụng nhiều nợ vay thì tỷ suất lợi nhuận ROCE càng tăng và sẽ thu được 1 cổ phần EPS. Do doanh nghiệp đó sử dụng đòn bẩy tài chính để khuyếch đại.
  • Trường hợp 2: Tỷ suất sinh lợi trên vốn kinh doanh (ROCE). Nếu ROCE < r thì trong trường hợp này doanh nghiệp sẽ gặp rất ít rủi ro.
  • Trường hợp 3: Tỷ suất sinh lợi trên vốn kinh doanh (ROCE) = Lãi suất vay (r). Nếu ROCE = r có nghĩa là trong các trường hợp vay nhiều, vay ít hay không vay đều có tỷ suất lợi nhuận EPS thu nhập 1 cổ phần khác nhau. Chỉ khác nhau ở chỗ là mỗi trường hợp thì mức độ rủi ro sẽ không giống nhau.

Kết luận

Có thể thấy, đòn bẩy tài chính là công cụ hỗ trợ đắc lực trong rất nhiều chiến lược kinh doanh của doanh nghiệp. Các nhà đầu tư rất thích sử dụng đòn bẩy tài chính đặc biệt trong lĩnh vực đa dạng hóa những danh mục đầu tư và giao dịch thương mại. Họ luôn kỳ vọng lợi nhuận được tạo ra có tỷ suất cao hơn so với lãi suất đi vay. Tuy nhiên, nó tiềm ẩn rất nhiều rủi ro nếu như chủ doanh nghiệp không đưa ra chiến lược sử dụng nguồn vốn đúng đắn.

FTV – Đơn vị chuyên tư vấn đầu tư chứng khoán và hàng hóa phái sinh uy tín tại Hà Nội và TP.HCM

Nhà đầu tư khi đến với FTV sẽ nhận được sự hỗ trợ từ các chuyên gia uy tín có nhiều kinh nghiệm trong ngành. Ngoài ra, nhà đầu tư còn được cung cấp nhiều tài liệu tham khảo có liên quan để từ đó đưa ra được những chiến lược đầu tư mang lại hiệu quả cao.

Nếu có câu hỏi thắc mắc nào về đòn bẩy tài chính hoặc cần hỗ trợ đầu tư hãy liên hệ ngay đến FTV qua HOTLINE 0983 668 883 để được giải đáp nhanh nhất.

Xem thêm:

Share
facebookShare on FacebooktwitterShare on TwitterpinterestShare on Pinterest
linkedinShare on LinkedinvkShare on VkredditShare on ReddittumblrShare on TumblrviadeoShare on ViadeobufferShare on BufferpocketShare on PocketwhatsappShare on WhatsappviberShare on ViberemailShare on EmailskypeShare on SkypediggShare on DiggmyspaceShare on MyspacebloggerShare on Blogger YahooMailShare on Yahoo mailtelegramShare on TelegramMessengerShare on Facebook Messenger gmailShare on GmailamazonShare on AmazonSMSShare on SMS
Post navigation
Previous post

Cáo Phó Phòng Thủ: Loại Cổ Phiếu Đáng Có Trong Danh Mục Đầu Tư

Next post

Khám Phá Phương Pháp Giao Dịch Price Action Trong Thị Trường Tài Chính

Related Posts

Categories Tin tức Đòn bẩy tài chính: Tìm hiểu và ứng dụng trong đầu tư

Soi Kèo Bóng Đá Châu Âu Chuẩn Như Cao Thủ 69VN

Categories Tin tức Đòn bẩy tài chính: Tìm hiểu và ứng dụng trong đầu tư

Đá gà trực tuyến W88 – Luật chơi và cách đặt cược chi tiết

Categories Tin tức Đòn bẩy tài chính: Tìm hiểu và ứng dụng trong đầu tư

Bí Quyết Săn Jackpot Nổ Hũ Tại 99Vina Thành Công

Leave a Comment Hủy

Categories Tin tức

Soi Kèo Bóng Đá Châu Âu Chuẩn Như Cao Thủ 69VN

Tháng 12 18, 2025

Đá gà trực tuyến W88 – Luật chơi và cách đặt cược chi tiết

Tháng 10 14, 2025

Bí Quyết Săn Jackpot Nổ Hũ Tại 99Vina Thành Công

Tháng 10 7, 2025

Bảng kèo bóng đá W88 hôm nay và trận đấu đáng chú ý

Tháng 9 25, 2025

Lý Do Casino Trực Tuyến Đang Thống Lĩnh Thị Trường

Tháng 9 23, 2025

Tăng Cơ Hội Thắng Với Kèo Cược Trực Tiếp

Tháng 9 23, 2025

Casino online Azbet88: Không gian giải trí đỉnh cao ngay tại nhà

Tháng 9 19, 2025

Casino live show pq88: Roulette, Blackjack với host nổi tiếng

Tháng 9 19, 2025

Bí quyết cá cược thể thao tại YSB66 để gia tăng cơ hội chiến thắng

Tháng 9 18, 2025
k8cc sv388 s666 vin88 pg88 xin88 23win fun88 nhà cái uy tín kèo nhà cái kubet11 vin777 letou pq88 ibet68 kingbet86 33bet h3bet azbet88 ysb66 vx88 km1888b rongho99 w88 yo88 tài xỉu online bet88 loto188 vb777 12bet 999bet 123win net79 79king good88 keonhacai5 888b ku68 go789 kubet77 i5bet ae888 78win az888 hb88 topzo 77ball ab77 locla88 mb66 qh88 123b b52 iwinclub mksport win456 cado888 789win ee88 sanclub xocdia88 typhu88 99vina 8kbet abc8 win55 xoso66 b52club fo88 kubet777 Tin68 33win w88sky.com vin777 kubet11go.com 888b taixiuonline8.it.com 789club 789betgo.it.com sanclub.asia
Copyright © 2026 aerariumfi.com - Powered by aerariumfi.com.
Offcanvas
Offcanvas

  • Lost your password ?